二次反応とは,簡単に言うと,
同じもの,二つが一つのものになる反応
と言えばいいでしょうか.
![]()
と言うもの.
これを解いてみましょう.
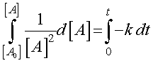
まずは依然と同様の手法で,A,の濃度の時間変化を.

左辺にAの項,右辺に時間の項を置き換えると,

となります.
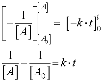
この積分を解くと,

となることがわかります.
さて,時間とAの濃度変化をプロットしてみると,

うーん,先ほどの一次反応と区別つかないですね.....
何となく,一次反応に比べてゆっくりと0に近づいているような...
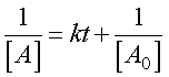
そこで,先ほどの式をもう一度見ると,

となり,
傾き:k
切片:1/[A0]
となるではないですか.

このプロットで評価すれば,一次反応か二次反応かを区別することが可能ですね.
次は可逆反応です.